Mechanical Ventilation and Diaphragmatic Atrophy in Critically Ill Patients:
An Ultrasound Study
Objective
Mechanical ventilation(기계 환기)는 횡격막 위축(diaphragmatic atropy)과 기능 부전에 영향을 주지만, 횡격막 기능을 평가하는 방법은 많지 않습니다. 본 연구에서는 mechanical ventilation을 받고 있는 중환자에서 횡격막 위축을 초음파를 이용해서 양적으로 평가하고, 추후 횡격막 위축을 악화시킬 수 있는 위험 인자를 알아보았습니다.
Desing, setting, patients, and intervention
1,200 병상 대학병원의 중환자실을 대상으로 전향적 관찰 연구를 진행하였습니다. 기관 삽관을 시행받은 성인 중환자를 대상으로 하였으며, 기계 환기를 적용한 첫날부터 일반 병동으로 전동 하는 날까지 초음파를 이용해서 zone of apposition에서 횡격막의 두께를 측정하였습니다.
Measurements and Main Results
Daily atrophy rate (ΔTdi/d), 즉 이전의 측정값과 비교해서 감소한 비율을 계산하였으며, ventilator mode에 따라 4 그룹으로 분류하였습니다:
1. Spontaneous breathing or continuous positive airway pressure
2. Pressure support ventilation 5–12cm H2O (low pressure support ventilation)
3. Pressure support ventilation greater than 12 cm H2O (high pressure support ventilation)
4. Controlled mechanical ventilation
Diaphragmatic atropy에 대한 위험 인자를 확인하고자 multivariate analysis(다변량 분석)을 시행하였습니다. 초음파를 시행받은 총 153명의 환자 중 40명이 연구에 포함되었으며, 결과는 다음과 같습니다:
Mean (sd) ΔTdi/d:
1. +2.3% (9.5) during spontaneous breathing or continuous positive airway pressure
2. –1.5% (10.9) at low pressure support ventilation
3. –5.3% (12.9) at high pressure support ventilation
4. –7.5% (12.3) during controlled mechanical ventilation

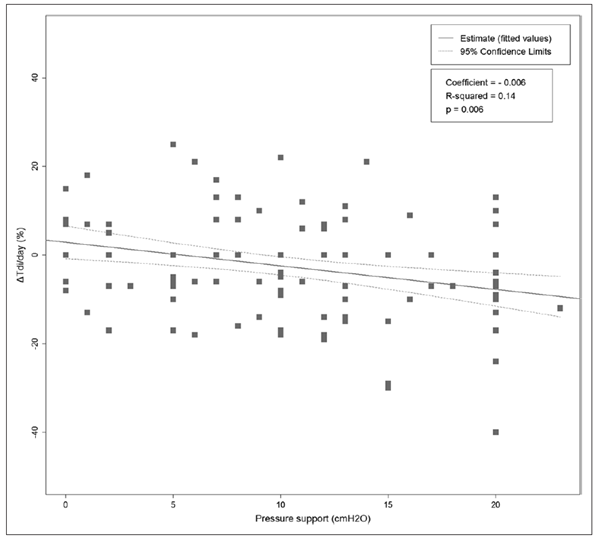
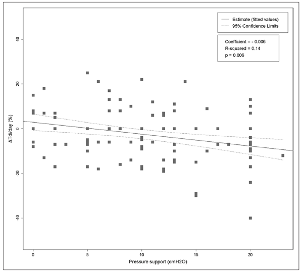
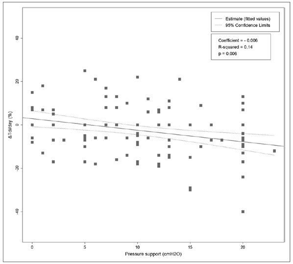
다변량 분석 결과 오직 ventilator suppot 정도가 diaphragmatic atrophy rate을 예측하는 인자였다. Pressure support predicted diaphragm thickness의 coefficient는 –0.006 (95% CI, –0.010 to –0.002; p = 0.006)였습니다.
Conclusions
본 연구 결과 mechanical ventilation 중인 중환자에서 diaphragmatic atrophy와 ventilator support 정도에는 linear relationship(선형 관계)이 있었습니다. Diaphragmatic thickness의 일일 감소는 낮은 pressure support 시 1.5% 감소한 데 반해, CMV 적용 기간 동안 7.5%가 감소하였습니다.
Context
Mechanical ventilation은 muscle fiber의 atrophy와 injury를 유발하고 이는 diaphragm의 force-generating capacity 감소로 이어지는데, 이를 “ventilator-induced diaphragmatic dysfunction(VIDD)"라고 합니다. 다른 skeletal muscle에 비해서 diaphragm은 electrical activity나 mechanical activity가 없는 상황에서(ie, controlled mechanicl ventilation)에 atrophy 영향을 받는 정도가 훨씬 더 민감합니다.
인간과 동물에 대한 연구에서 mechanical ventilation을 시행받은 지 12시간에서 24시간 내에 diaphragmatic atropy가 발생하고, 시간이 지남에 따라 악화된다는 보고가 있습니다.
Levine S, Nguyen T, Taylor N, et al: Rapid disuse atrophy of diaphragm fibers in mechanically ventilated humans. N Engl J Med 2008; 358:1327–1335
Diaphragmatic thickness fraction을 구하는 공식은 다음과 같다:
TF = (Tdimax − Tdimin / Tdimin )%
3차례의 연속적인 호흡 주기동안 반복 측정한 후 평균값을 기록하였다.
Goligher 등은 우측 hemi-diaphragm이 초음파 검사에 더 적합하다고 보고하였으며, 본 연구에서도 우측을 주로 측정하였다.
Goligher EC, Laghi F, Detsky ME, et al: Measuring diaphragm thickness with ultrasound in mechanically ventilated patients: Feasibility, reproducibility and validity. Intensive Care Med 2015; 41:642–649
Reference
Massimo Zambon et al. Mechanical Ventilation and Diaphragmatic Atrophy in Critically Ill Patients: An Ultrasound Study. Crit Care Med 2016; 44:1347–1352
2024.01.26 - [의학] - 기계 호흡 중인 환자에서 초음파로 흉수(pleural effusion)의 양을 측정하는 방법
기계 호흡 중인 환자에서 초음파로 흉수(pleural effusion)의 양을 측정하는 방법
Objective 본 연구는 기계 호흡을 적용 중인 환자에서 초음파를 이용하여 pleural effusion (흉수)의 양을 측정하는 방법을 알아내기 위해 진행하였습니다. Design & Setting 대학병원의 중환자실에 입원한 8
blueorbit.tistory.com
2024.02.06 - [의학] - Theophyllin 투여가 기계 환기 유발 횡격막 기능부전에 미치는 영향
Theophyllin 투여가 기계 환기 유발 횡격막 기능부전에 미치는 영향
Effect of theophylline on ventilator-induced diaphragmatic dysfunction Purpose 본 연구는 ventilator-induced diaphragmatic dysfunction (VIDD)가 발생한 환자에서 theophylline의 투여가 어떤 효과가 있는지 알아보기 위해 진행하였
blueorbit.tistory.com
2024.02.11 - [의학] - 초음파를 이용한 쇄골하 정맥의 중심정맥관 삽입술
초음파를 이용한 쇄골하 정맥의 중심정맥관 삽입술
Ultrasound-Guided Subclavian Vein Catheterization: A Systematic Review and Meta-Analysis Objective Ultrasound-guided subcavian vein catheterization(초음파 유도하 쇄골하 정맥 카테터 삽입술)에 대해 많은 보고들이 있지만 이에 대
blueorbit.tistory.com
'의학' 카테고리의 다른 글
| 패혈증 원발 부위와 사망률 간의 관계 (0) | 2024.03.12 |
|---|---|
| Polymyxin B & Colistin (0) | 2024.03.11 |
| 심장 수술을 받은 환자의 예후에 미치는 체중의 영향 (0) | 2024.03.10 |
| 항문관(anal canal)의 해부학적 구조 (0) | 2024.03.10 |
| 초음파를 이용한 interior vena cava(하대정맥)의 평가_3 (0) | 2024.03.10 |