Biomarkers in the Critically Ill Patient: C-Reactive Protein
Infection(감염)에 대한 신체의 반응이 아니라, infection 자체를 반영하는 biomarker는 임상 양상에 대한 정보에 더해서 진단, 질환의 중증도, 예후, 그리고 치료에 대한 방향을 결정하는 데 도움을 줄 수 있어야 합니다. 진단, 예후, 치료 방향 결정에서의 CRP(C-reactive protein)의 역할에 대한 연구는 다음과 같습니다.
For Diagnosis
8.7 mg/dL이상의 CRP concentration과 38.2'C 이상의 발열은 infection 진단에 대한 specificity가 100%에 달한다고 알려져 있습니다. Cutoff value를 8 mg/dL로 하였을 때 sensitivity 94.3%, specificity 87.3%였고, median CRP level이 sepsis 환자에서 더 높았습니다.
Sepsis(18.9 mg/dL; 95% confidence interval [CI], 17.1-21.8), healthy subjects(0.21 mg/dL; 95% CI, 0.21–0.4), acute myocardial infarction(2.2 mg/dL; 95% CI, 2.1–4.9), and in noninfected patients with systemic inflammatory response syndrome (1.7 mg/dL; 95% CI, 2.4–5.5)
Sierra R, et al. C-reactive protein used as an early indicator of infection in patients with systemic inflammatory response syndrome. Intensive Care Med 2004;30:2038–45.
Sepsis의 여러 sign (temperature, heart rate, respiratory rate, white blood cell count)을 CRP, SOFA와 함께 고려하였을 때 감염을 예측하는데 유용합니다.
Peres Bota D et al. Infection probability score (IPS): a method to help assess the probability of infection in critically ill patients. Crit Care Med 2003;31:2579–84.
일반적으로 CRP의 absolure level을 유용하다고 할 순 없습니다. 감염과 비감염 환자군에서 CRP level은 상당 부분 겹치며, 특히 중환자에서는 다른 염증 요인이 존재할 수 있고, 더욱이 고령의 환자군에서는 다른 기저질환으로 인해 기본 CRP가 상승되어 있는 경우가 많기 때문입니다. 따라서 어느 한 시점에서의 높은 CRP level을 감염에 대한 증거로 볼 것이 아니라, pattern을 확인함으로써 감염이 발생했는지 혹은 악화되었는지 판단할 수 있겠습니다.
2023.11.05 - [의학] - Procalcitonin 검사의 활용
Procalcitonin 검사의 활용
감염이 의심되는 환자와 항생제 치료 중인 환자에서 procalcitonin(프로칼시토닌) 검사는 이제 진단과 치료의 한 부분이 되었습니다. 환자의 임상증상이 가장 중요하지만 procalcitonin과 같은 biomarker
blueorbit.tistory.com
중환자에서 CRP level을 매일 확인함으로써, maximum daily CRP variation이 4.1 mg/dL 이상일 때 nosocomial infection을 판단할 수 있는데(sensitivity 92.1%, specificity 71.4%), 여기에 더해서 CRP level이 8.7 mg/dL 이상일 때 discriminative power가 더 증가합니다(sensitivity 92.1%, specificity 82.1%).
Povoa P et al. Early identification of intensive care unitacquired infections with daily monitoring of C-reactive protein: a prospective observational study. Crit Care 2006;10:R63.
CRP는 liver cirrhosis, fulminant liver failure 환자에서 발생하는 sepsis의 indicator로 사용되고는 하지만, CRP level이 항상 증가하는 것은 아니므로, 위와 같은 환자군에서 infection marker로서 사용하면 안 됩니다.
Silvestre JP et al. Impact of fulminant hepatic failure in C-reactive protein? J Crit Care 2010;25(4):657, e7–12.
CRP level이 감염의 서로 다른 종류를 예측할 수 있는지에 대한 연구도 있었습니다. 일반적으로 다른 원인의 감염에 비해, 세균성 감염에서 serum CRP concentration이 더 높다고 알려져 있지만, 임상적으로 유용한가에 대해서는 명확하지 않습니다.
Surgical ICU에서 발생한 sepsis 환자군을 대상으로, candidal sepsis에 비해서 bacterial sepsis 환자군에서 CRP levle이 더 높았습니다(median [interquartile range] 19.0 [115–316] mg/dL vs 9.4 [66–129] mg/dL, P 5. 002). 양 군을 구분하는 cutoff value는 10.0 mg/dL였지만(sensitivity 82%, specificity 53%), receiver operating characteristic curve에 대한 analysis에서는 명확한 cuttoff value는 확인할 수 없었습니다.
Martini A et al. Procalcitonin levels in surgical patients at risk of candidemia. J Infect 2010;60:425–30.
Nosocimial bacteremia에 대한 후향적 연구에서, gram-positive bacteremia에 비해 gram-negative bacteremia 군에서 CRP level이 더 높은 것으로 나타났는데, gram-negative bacteremia 군에서는 감염 진단 이틀 전과 하루 뒤에 CRP level이 상승하였지만 gram-positive bacteremia 군에서는 변화가 없었습니다.
Vandijck DM et al. Dynamics of C-reactive protein and white blood cell count in critically ill patients with nosocomial Gram positive vs. Gram negative bacteremia: a historical cohort study. BMC Infect Dis 2007;7:106.
For Prognosis
한 시점에서의 CRP value는, 시간에 따른 추이에 비교해서 예후를 평가하는데 유용하지 못합니다.
하지만 한 후향적 연구에서는, 중환자 입실 시 CRP lvel이 1 mg/dL 미만이었을 때에 비해서 10 mg/dL 이상었을 때 repiratory failure(65% vs 28.8%, P <. 05), renal failure(16.6% vs 3.6%, P < 0.5), coagulation failure(6.4% vs 0.9%, P <. 05), mortality rates(36% vs 21%, P <. 05)가 더 높았습니다. 또한 중환자실 입실 시에 CRP concentration이 10 mg/dL 이상인 환자군에서 48시간 후에 그 값이 감소한 군은 mortality rate이 15%였지만, 계속 상승한 군에서는 61%로 더 높았습니다(relative risk, 0.25; 95% CI, 0.07–0.91; P < .05).
Lobo SM et al. C-reactive protein levels correlate with mortality and organ failure in critically ill patients. Chest 2003;123:2043–9.
ICU 퇴실 시의 높은 CRP level은 ICU readmission risk와 ICU 퇴실 후의 in-hospital mortality가 더 높았습니다.
Ho KM et al. C-reactive protein concentration as a predictor of intensive care unit readmission: a nested case-control study. J Crit Care 2006;21: 259–65.
Nonsurgical ICU 환자군에 대한 연구에서도, ICU 재실 기간 동안 maximum CRP level과 퇴실 시의 CRP level이 post-ICU mortality와 관계가 있었습니다.
Grander W et al. CRP levels and post-intensive care unit mortality in non-surgical intensive care patients. Chest 2010;138(4): 856–62.
하지만 mixed medical-surgical ICU 환자군에 대한 연구에서는 유의한 차이를 확인할 수 없었습니다.
Al-Subaie N et al. C-reactive protein as a predictor of outcome after discharge from the intensive care: a prospective observational study. Br J Anaesth 2010;105:318–25.
입원 시 21.9 mg/dL 이상의 CRP value를 보인 community-acquired pneumonia 환자군에서는 treatment failure와 연관이 있었습니다(relative risk, 2.6).
Menendez R et al. Markers of treatment failure in hospitalised community acquired pneumonia. Thorax 2008;63:447–52.
2021.10.04 - [의학] - Procalcitonin을 어떻게 이용해야 할까?
Procalcitonin을 어떻게 이용해야 할까?
하기도 감염증과 패혈증 환자의 치료에서 procalcitonin 이용에 대해 여러 학회에서 다양한 권고를 하고 있다. US FDA에는 패혈증과 패혈성 쇼크로 진행하는지 예측하기 위해 중환자실 입실 첫날에
blueorbit.tistory.com
For Therapeutic Guidance
Sepsis가 호전되면서 CRP level이 감소한다는 결과를 근거로, CRP level을 항생제 치료 방향을 정하는데 이용할 수 있다고 제시는 여러 연구 결과들이 있습니다.
전날에 비해 CRP가 25% 이상 감소했을 때를 sepsis 호전에 대한 지표로 볼 수 있었습니다(sensitivity 97%, specificity 95%, predictive value 97%).
Yentis SM et al. C-reactive protein as an indicator of resolution of sepsis in the intensive care unit. Intensive Care Med 1995;21:602–5.
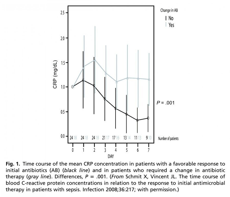
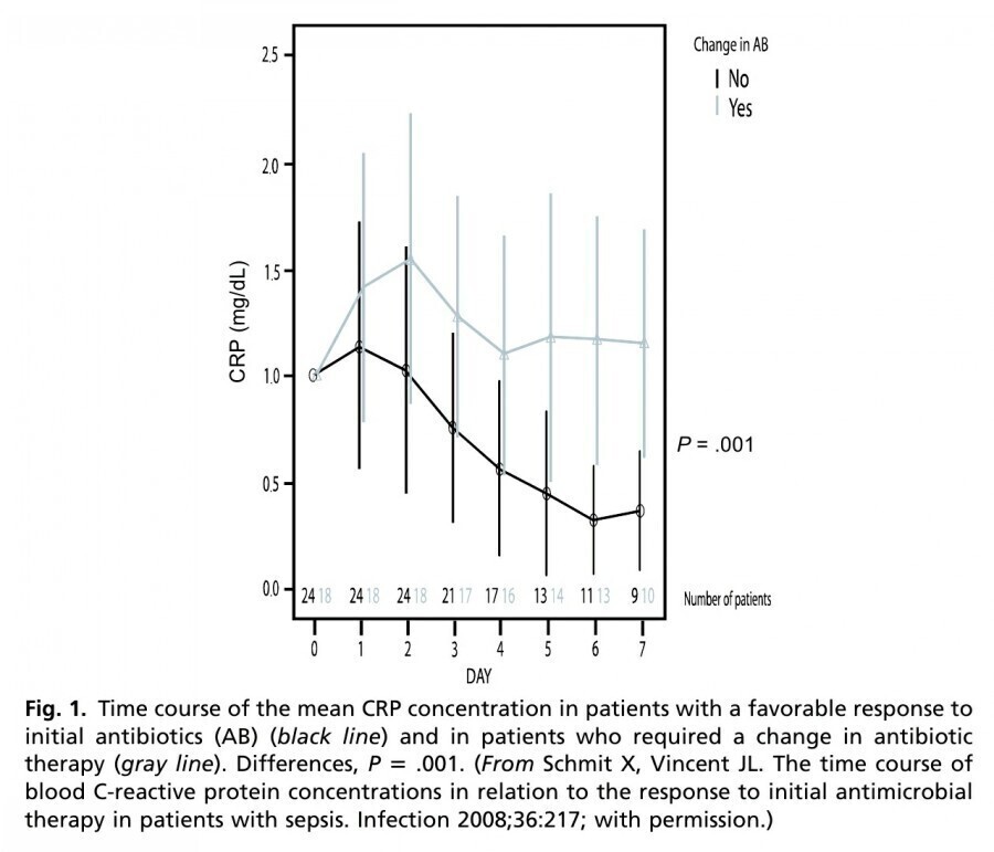
Sepsis 진단을 받은 50명의 성인 중환자에 대한 연구에서, 경험적 항생제 투여로 호전되는 환자군에서 CRP level이 빠르고 뚜렷하게 감소하였습니다(FIg.1). 경험적 항생제 선택이 적절하지 않았던 환자에서는, 초기 투여 48시간 이내에 최소한 2.2 mg/dL의 CRP 상승 소견이 있었습니다(sensitivity 77%, specificity 67%).
Schmit X et al. The time course of blood C-reactive protein concentrations in relation to the response to initial antimicrobial therapy in patients with sepsis. Infection 2008;36:213–9.

Ventilator-acquired pneumonia 환자군에서, 적절한 항생제 치료를 받았을 때 그렇지 않은 경우보다 진단 후 96시간 후의 mean serum CRP levle이 유의하게 낮았습니다(10.3 ± 10 mg/dL vs 19.2 ± 14 mg/dL, P <. 05).
96시간 후 0.8의 CRP ratio는 항생제 선택의 적절한 indicator로 사용할 수 있다 (sensitivity 77%, specificity 87%).
C-reactive protein correlates with bacterial load and appropriate antibiotic therapy in suspected ventilator-associated pneumonia. Crit Care Med 2008;36:166–71.
Community-acquired pneumonia 환자군에서, 입원 당시와 비교해서 입원 3일과 7일째 CRP level이 감소된 정도가 각각 60%, 90%가 되지 않는다면, 이는 적절하지 않은 항생제를 선택했을 가능성이 높음을 시사합니다.
Bruns AH et al. Usefulness of consecutive C-reactive protein measurements in follow-up of severe community-acquired pneumonia. Eur Respir J 2008;32:726–32.
Sepsis에 빠진 중환자군에서 적절한 항생제 치료를 사용했을 때 serum CRP level은 감소하지만, 현저한 variability로 인해 항생제 치료를 중단에 대한 최저 plasma concentration을 정하기는 어렵습니다.
Venkatesh B et al. Changes in serum procalcitonin and C-reactive protein following antimicrobial therapy as a guide to antibiotic duration in the critically ill: a prospective evaluation. Anaesth Intensive Care 2009;37:20–6.
요약하자면, 중환자에서 serum CRP level을 check 할 때 다음 3가지 사항을 고려해 볼 수 있겠습니다.
1. CRP level은 다른 sepsis biomarker와 마찬가지로 sepsis를 rule in 하기보다는 rule out 하는 데 더 유용하다.
증가된 수치가 sepsis를 반드시 의미하는 것은 아니지만, 정상 수치는 sepsis가 아님을 시사한다.
2. 어느 한 시점에서의 값보다 time course가 더 중요하다.
증가되는 CRP level은 감염이 발생 혹은 악화되었음을 시사하며, 치료 중 그 수치가 감소할 때는 그 치료가 적절함을 나타낼 수 있다.
3. Serum CRP level은 반드시 임상적인 상황과 함께 판단해야 한다. CRP 단독으로 결코 진단을 내려서는 안되며, 다른 임상적인 sign과 symptom을 support 하는 데 도움이 될 수 있다.
Reference
Biomarkers in the Critically I l l Patient: C-reactive Protein. Crit Care Clin 27 (2011) 241–251
2024.02.17 - [의학] - 기계 호흡 연관 폐렴 환자에서 항생제 선택
기계 호흡 연관 폐렴 환자에서 항생제 선택
The Use of Antibiotics for Ventilator-Associated Pneumonia in the MIMIC-IV Database PurposeICU에 입원 중인 ventilator-associated pneumonia (VAP, 기계호흡기 관련 폐렴)의 clinical characteristics, etiological characteristics 그리고 이 환
blueorbit.tistory.com
2023.11.08 - [의학] - 병원내 폐렴(nosocomial pneumonia, hospital-acquired pneumonia)의 치료 - 1
병원내 폐렴(nosocomial pneumonia, hospital-acquired pneumonia)의 치료 - 1
Nosocominal pneumonia(병원 내 감염)로 항생제 투여를 하기로 결정하였다면, 항생제 치료의 효과를 최대로 얻고 항생제 과용을 줄이기 위해 다음 세 가지를 고려해야 합니다: 1. 원인균으로 생각되는
blueorbit.tistory.com
'의학' 카테고리의 다른 글
| 두 곳 이상의 손상을 입은 외상 환자는 왜 사망률이 증가할까 (0) | 2024.02.02 |
|---|---|
| 외상 환자에서 chest tube를 제거하고 chest X ray를 꼭 찍어야 할까 (1) | 2024.01.31 |
| 유산균을 중환자에게 투여했을 때의 효과 (2) | 2024.01.27 |
| 기계 호흡 중인 환자에서 초음파로 흉수(pleural effusion)의 양을 측정하는 방법 (1) | 2024.01.26 |
| 승압제를 투여 받는 중환자에서 조기 경장영양과 지연 경장영양의 비교 (1) | 2024.01.25 |